高能物理团队在(类)粲偶素研究中取得重要进展
粲偶素是由一对正反粲夸克组成的束缚态,自从1974年第一个粲偶素粒子J/psi在实验上被发现以来,由此掀起了对于粲偶素研究的热潮。粲偶素能区位于微扰-非微扰过渡区域,对于理解强相互作用的行为非常重要。目前质量在粲介子对DD-bar产生阈值之下的所有粲偶素都已被发现,并且可以很好地被传统夸克模型所解释。但是,在DD-bar阈值之上仍有很多被模型预测却尚未被发现的粲偶素,并且在这个能区,实验上也发现了一系列不能由传统夸克模型所解释的类粲偶素XYZ粒子,这使得目前DD-bar阈值之上(类)粲偶素能谱的研究非常混乱,仍有很多问题尚未得到解决。基于此,顶级在线体育平台高能物理团队张杰磊副教授等利用北京谱仪BESIII的实验数据对部分(类)粲偶素粒子psi_2(3823)、X(3872)、Zc(4020)等进行了相关研究。
一、寻找psi_2(3823)新的衰变模式
psi_2(3823)粒子存在的证据首次在Belle实验上观测到,之后BESIII实验在e+e-->pi+pi-psi_2(3823)过程中报告了这个粒子的发现。这个粒子被认为是粲偶素psi(1 3D2)很好的候选者,很多理论模型也对这个粒子进行了计算,但目前关于这个粒子研究的实验信息还比较匮乏。最近,顶级在线体育平台张杰磊副教授利用BESIII在4GeV以上能区采集的实验数据对psi_2(3823)的七个衰变模式(gamma chi_c0,1,2, pi+pi-/pi0pi0/eta/pi0 J/psi)进行了寻找与研究,首次发现了衰变过程psi_2(3823)->gamma chi_c2存在的证据,以更高显著性重新发现了过程psi_2(3823)->gamma chi_c1,未观测到其它过程存在的信号。其中,对于psi_2(3823)->gamma chi_c2的测量结果与理论计算一致,但对于psi_2(3823)->pi+pi-J/psi的测量结果与理论计算并不符合,需要理论进一步的研究。除此之外,研究中也首次发现了过程e+e-->pi0pi0psi_2(3823)存在的证据,测量结果与同位旋对称性的预期是一致的。该工作近期以“Search for new decay modes of the psi_2(3823) and the process e+e-->pi0pi0psi_2(3823)”为题以Letter形式发表在国际权威期刊Physical Review D上(论文链接:https://doi.org/10.1103/PhysRevD.103.L091102)。

图1:psi_2(3823)的七个衰变模式和过程e+e-->pi0pi0psi_2(3823)的不变质量谱
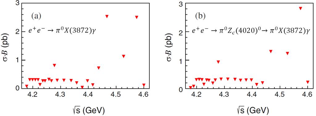
二、e+e-->pi0X(3872)gamma的研究和Zc(4020)->X(3872)gamma的寻找
X(3872)是第一个被发现的类粲偶素粒子,时至今日人们对它的性质仍不清楚。其中,X(3872)的质量与DD*阈值之差是帮助理解X(3872)性质的一个重要物理量,但目前的实验测量误差还比较大,不足以判断X(3872)质量是在DD*阈值之上还是阈值之下,有理论预言可以通过e+e-->pi0X(3872)gamma过程中的X(3872)gamma谱形精确的得出这个差值。并且,该过程也可以用来寻找Zc(4020)->X(3872)gamma衰变,帮助定量研究X(3872)和Zc(4020)的分子态图像模型。近日,顶级在线体育平台硕士研究生朱腾蛟同学在导师张杰磊副教授的指导下,利用BESIII在4GeV以上能区采集的实验数据首次研究了过程e+e-->pi0X(3872)gamma,并在此过程中首次寻找了衰变Zc(4020)->X(3872)gamma。受限于目前实验数据的统计量,并没有观测到这两个过程显著的信号,因此给出了截面和分支比比值的上限测量结果。该实验测量结果与目前的理论预测结果并不冲突,需要更大统计量的实验数据来进一步检验理论模型,这个有可能在未来的超级陶-粲装置上被实现。该工作近期以“Study of e+e-->pi0X(3872)gamma and search for Zc(4020)->X(3872)gamma”为题发表在国际权威期刊Physical Review D上(论文链接:https://doi.org/10.1103/PhysRevD.104.012001)。

图2:e+e-->pi0X(3872)gamma和e+e-->pi0Zc(4020)->pi0X(3872)gamma的实验上限测量结果
上述两个工作得到了国家自然科学基金青年基金项目及信阳师范K云体育官方入口南湖青年学者计划的资助,同时得到了中国科K云体育官方入口高能物理研究所王至勇、张景芝研究员的指导和帮助。
北京谱仪BESIII实验是目前世界上唯一一台运行在陶-粲能区的正负电子对撞机实验,目前共有来自17个国家80个成员单位的约500名科学家参加。信阳师范K云体育官方入口作为BESIII实验的成员单位之一,在BESIII的数据质量检查、物理分析等方面做出了重要的贡献。


